News
熱門推薦


1 引(yin) 言
干(gan)式搗打(da)料(liao)(liao)是(shi)由(you)(you)一定顆粒級配的(de)耐火(huo)骨料(liao)(liao)、粉料(liao)(liao)、結(jie)合劑(ji)和(he)外(wai)加(jia)劑(ji)組成的(de)用(yong)人工(gong)或(huo)機械方(fang)法搗打(da)施工(gong), 并在一定溫(wen)度下硬(ying)化的(de)不定形耐火(huo)材料(liao)(liao),多(duo)用(yong)作(zuo)感(gan)應(ying)(ying)爐(lu)爐(lu)襯材料(liao)(liao)。無芯(xin)中頻感(gan)應(ying)(ying)爐(lu)用(yong)干(gan)式搗打(da)料(liao)(liao)分酸(suan)性、堿性和(he)中性三類。無芯(xin)感(gan)應(ying)(ying)爐(lu)由(you)(you)于(yu)具有(you)升溫(wen)能(neng)力(li)強、可(ke)間(jian)歇作(zuo)業、爐(lu)襯費用(yong)低(di)、使用(yong)靈活方(fang)便等特點,被(bei)廣泛應(ying)(ying)用(yong)于(yu)鑄造行(xing)業,是(shi)國內鑄造企業熔(rong)化鐵(tie)和(he)有(you)色金(jin)屬(shu)或(huo)熔(rong)液保溫(wen)的(de)主要(yao)設備。目前,許多(duo)感(gan)應(ying)(ying)爐(lu)的(de)爐(lu) 襯材料(liao)(liao)采用(yong)硅質(zhi)干(gan)式搗打(da)料(liao)(liao)。
干(gan)式(shi)搗(dao)打(da)(da)料(liao)(liao)(liao)(liao)呈(cheng)松(song)散狀,成(cheng)(cheng)(cheng)(cheng)型之(zhi)前無粘(zhan)結(jie)(jie)(jie)性(xing),只(zhi)有以(yi)(yi)振動(dong)或強力(li)搗(dao)打(da)(da)才可獲得密實的(de)(de)結(jie)(jie)(jie)構使得粒(li)度分(fen)(fen)布 ( 合(he)(he)理級配) 成(cheng)(cheng)(cheng)(cheng)為(wei)影(ying)響(xiang)其性(xing)能(neng)的(de)(de)重(zhong)(zhong)要(yao)(yao)因素之(zhi)一。爐(lu)襯作(zuo)為(wei)感應(ying)爐(lu)的(de)(de)重(zhong)(zhong)要(yao)(yao)組成(cheng)(cheng)(cheng)(cheng)部(bu)分(fen)(fen),不但直接影(ying)響(xiang)熔煉(lian)金屬的(de)(de)質(zhi)量(liang),而(er)(er)且(qie)還(huan)影(ying)響(xiang)其生(sheng)產成(cheng)(cheng)(cheng)(cheng)本,因而(er)(er)爐(lu)襯材(cai)料(liao)(liao)(liao)(liao)的(de)(de)選擇是(shi)十分(fen)(fen)重(zhong)(zhong)要(yao)(yao)的(de)(de)。硅(gui)(gui)砂(sha)與中性(xing)和堿性(xing)耐火材(cai)料(liao)(liao)(liao)(liao)材(cai)料(liao)(liao)(liao)(liao)相比,價(jia)格低廉,目前以(yi)(yi)硼酸(suan)為(wei)燒結(jie)(jie)(jie)劑的(de)(de)硅(gui)(gui)質(zhi)干(gan)式(shi)搗(dao)打(da)(da)爐(lu)料(liao)(liao)(liao)(liao)使用十分(fen)(fen)廣泛(fan),石英材(cai)料(liao)(liao)(liao)(liao)具有耐高溫、低導(dao)熱及(ji)低熱膨脹( α = 0. 54 × 10 - 6℃ - 1 ) 等性(xing)能(neng)特(te)點,但是(shi)硅(gui)(gui)質(zhi)材(cai)料(liao)(liao)(liao)(liao)在高溫下存在較(jiao)(jiao)復(fu)雜的(de)(de)晶(jing)型轉變,因而(er)(er)要(yao)(yao)考(kao) 慮加入(ru)硅(gui)(gui)砂(sha)的(de)(de)粒(li)度組成(cheng)(cheng)(cheng)(cheng)以(yi)(yi)及(ji)結(jie)(jie)(jie)合(he)(he)劑的(de)(de)種類對材(cai)料(liao)(liao)(liao)(liao)高溫性(xing)能(neng)的(de)(de)影(ying)響(xiang)。從 SiO2-B2O3 相圖看,B2O3 的(de)(de)加入(ru)量(liang)以(yi)(yi) 小于 2% 為(wei)宜。隨(sui)著原(yuan)料(liao)(liao)(liao)(liao)顆(ke)(ke)粒(li)粒(li)度的(de)(de)增(zeng)大,燒后硅(gui)(gui)質(zhi)材(cai)料(liao)(liao)(liao)(liao)的(de)(de)耐壓強度增(zeng)大,因而(er)(er)搗(dao)打(da)(da)料(liao)(liao)(liao)(liao)中加入(ru)硅(gui)(gui)砂(sha)的(de)(de)粒(li)度適當大些(xie)。這些(xie)因素都會(hui)對燒后硅(gui)(gui)質(zhi)干(gan)式(shi)搗(dao)打(da)(da)料(liao)(liao)(liao)(liao)的(de)(de)試樣(yang)性(xing)能(neng)有所影(ying)響(xiang)。本文針對現有硅(gui)(gui)質(zhi)干(gan)式(shi)搗(dao)打(da)(da)料(liao)(liao)(liao)(liao)使 用存在組成(cheng)(cheng)(cheng)(cheng)不合(he)(he)理、結(jie)(jie)(jie)合(he)(he)劑的(de)(de)選擇較(jiao)(jiao)多等問(wen)題,研(yan)究不同(tong)原(yuan)料(liao)(liao)(liao)(liao)的(de)(de)粒(li)度組成(cheng)(cheng)(cheng)(cheng)、結(jie)(jie)(jie)合(he)(he)劑的(de)(de)種類對材(cai)料(liao)(liao)(liao)(liao)性(xing)能(neng)的(de)(de)影(ying)響(xiang), 確定材(cai)料(liao)(liao)(liao)(liao)合(he)(he)適的(de)(de)顆(ke)(ke)粒(li)級配及(ji).佳的(de)(de)結(jie)(jie)(jie)合(he)(he)劑。
2 實 驗
采用(yong)的(de)(de)原料(liao)為(wei)分(fen)別(bie)為(wei) 3 ~ 1 mm、≤1 mm 和≤0. 053 mm 粒(li)度的(de)(de)石英(ying)砂( wSiO2 = 99. 53% ) 和工(gong)業級(ji)純度 的(de)(de)硅微粉、硼酸(suan)(suan)、氧化(hua)硼、偏硅酸(suan)(suan)鈉( 0. 5 ~ 1 mm) 、氧化(hua)鈣(gai)。硅質干式(shi)料(liao)的(de)(de)配(pei)比組成見表(biao) 1。按表(biao) 1 的(de)(de)配(pei)比準確(que)稱料(liao),干混勻后導(dao)入模具中手工(gong)搗(dao)打成型(xing)(xing)。將成型(xing)(xing)好的(de)(de)試(shi)樣(yang)分(fen)別(bie)在 1500 ℃ 和 1550 ℃ 下(xia)保溫(wen) 3 h 脫模。 以 S3 試(shi)樣(yang)的(de)(de)顆粒(li)級(ji)配(pei)為(wei)基準,加入不同(tong)結合劑試(shi)樣(yang)的(de)(de)配(pei)比如下(xia)表(biao) 2 所示。1500 ℃ 和 1550 ℃ 燒后試(shi)樣(yang)分(fen)別(bie) 按 GB /T 5988-2007、GB /T 2997-2000 和 GB /T 5027-2008 測量(liang)..線變化(hua)、顯氣(qi)孔(kong)率和耐壓強(qiang)度,用(yong) X 射線 衍射儀進行物相分(fen)析。
3 結果(guo)與討論
圖 1 是試(shi)(shi)樣(yang)(yang)經過不(bu)同(tong)溫(wen)度(du)(du)(du)燒(shao)(shao)(shao)(shao)后的(de)性能圖。從(cong)圖 1a 和 b 可以看(kan)出,不(bu)同(tong)粒(li)度(du)(du)(du)組成試(shi)(shi)樣(yang)(yang)在 1500 ℃ 燒(shao)(shao)(shao)(shao)后的(de) 氣(qi)(qi)孔率明顯(xian)高于在 1550 ℃燒(shao)(shao)(shao)(shao)后試(shi)(shi)樣(yang)(yang)的(de)氣(qi)(qi)孔率,S2 試(shi)(shi)樣(yang)(yang)在不(bu)同(tong)溫(wen)度(du)(du)(du)燒(shao)(shao)(shao)(shao)后氣(qi)(qi)孔率和體積(ji)(ji)密(mi)度(du)(du)(du)的(de)變化較大; S3 試(shi)(shi) 樣(yang)(yang)的(de)氣(qi)(qi)孔率在不(bu)同(tong)的(de)溫(wen)度(du)(du)(du)時與 S1、S2 相比有.小的(de)顯(xian)氣(qi)(qi)孔率,有.大的(de)體積(ji)(ji)密(mi)度(du)(du)(du)。原因是: 隨(sui)著燒(shao)(shao)(shao)(shao)結溫(wen)度(du)(du)(du)的(de)高,顆粒(li)燒(shao)(shao)(shao)(shao)結程度(du)(du)(du)增加(jia),顆粒(li)與顆粒(li)之間結合緊密(mi)。在相同(tong)燒(shao)(shao)(shao)(shao)結溫(wen)度(du)(du)(du)時,S3 試(shi)(shi)樣(yang)(yang)的(de)堆積(ji)(ji)更緊密(mi),氣(qi)(qi)孔得到 更充分(fen)地(di)填充。
圖(tu) 1c 給出(chu)了不(bu)同(tong)顆粒級配(pei)試樣(yang)(yang)經過 1500 ℃和 1550 ℃燒后的(de)(de)(de)(de)(de)線(xian)變化率。從圖(tu)中(zhong)可以看出(chu),S2、S3 試樣(yang)(yang) 在(zai)(zai) 1500 ℃燒后的(de)(de)(de)(de)(de)線(xian)變化率明顯比在(zai)(zai) 1550 ℃燒后的(de)(de)(de)(de)(de)要低。在(zai)(zai)相(xiang)(xiang)同(tong)溫(wen)(wen)度(du)燒后,這三(san)組樣(yang)(yang)品中(zhong) S3 試樣(yang)(yang)的(de)(de)(de)(de)(de)線(xian)變化率.小,線(xian)變化率分別為 7. 79% 和 8. 03% 。原因(yin)是: 顆粒中(zhong)的(de)(de)(de)(de)(de)石英相(xiang)(xiang)發生晶型轉(zhuan)變需要較(jiao)(jiao)高一定的(de)(de)(de)(de)(de)溫(wen)(wen)度(du),當(dang) 燒結溫(wen)(wen)度(du)高時,干式搗(dao)打料中(zhong)已形成較(jiao)(jiao)多的(de)(de)(de)(de)(de)液(ye)相(xiang)(xiang),大顆粒體積(ji)膨脹會被液(ye)相(xiang)(xiang)吸收,降低了其膨脹率[10]。因(yin)此作為爐(lu)襯材料的(de)(de)(de)(de)(de)石英砂,考(kao)慮高溫(wen)(wen)時體積(ji)穩定性的(de)(de)(de)(de)(de)影(ying)響,選擇(ze) S3 試樣(yang)(yang)的(de)(de)(de)(de)(de)粒度(du)組成比較(jiao)(jiao)好。
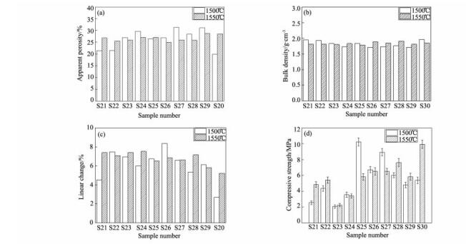
圖(tu) 2a 和(he) b 分別是不(bu)同(tong)(tong)(tong)結(jie)(jie)(jie)(jie)合劑(ji)試(shi)(shi)(shi)樣(yang)(yang)(yang)(yang)(yang)在(zai)(zai) 1500 ℃和(he) 1550 ℃燒后(hou)的(de)(de)(de)(de)(de)(de)(de)顯(xian)氣(qi)(qi)(qi)孔(kong)(kong)率(lv)(lv)(lv)(lv)(lv)(lv)和(he)體(ti)積密度(du)(du)(du)。從圖(tu)中知(zhi)道,1500 ℃時 S20 試(shi)(shi)(shi)樣(yang)(yang)(yang)(yang)(yang)的(de)(de)(de)(de)(de)(de)(de)顯(xian)氣(qi)(qi)(qi)孔(kong)(kong)率(lv)(lv)(lv)(lv)(lv)(lv).低,體(ti)積密度(du)(du)(du).高(gao)(gao)。1550 ℃ 時 S26 試(shi)(shi)(shi)樣(yang)(yang)(yang)(yang)(yang)的(de)(de)(de)(de)(de)(de)(de)顯(xian)氣(qi)(qi)(qi)孔(kong)(kong)率(lv)(lv)(lv)(lv)(lv)(lv).低,S29 的(de)(de)(de)(de)(de)(de)(de)顯(xian)氣(qi)(qi)(qi)孔(kong)(kong)率(lv)(lv)(lv)(lv)(lv)(lv).高(gao)(gao)。 S20 試(shi)(shi)(shi)樣(yang)(yang)(yang)(yang)(yang)在(zai)(zai)1500 ℃和(he)1550 ℃的(de)(de)(de)(de)(de)(de)(de)顯(xian)氣(qi)(qi)(qi)孔(kong)(kong)率(lv)(lv)(lv)(lv)(lv)(lv)相差較大(da)(da)。原因是在(zai)(zai)1500 ℃時 S20 試(shi)(shi)(shi)樣(yang)(yang)(yang)(yang)(yang)中加(jia)(jia)(jia)(jia)的(de)(de)(de)(de)(de)(de)(de)結(jie)(jie)(jie)(jie)合劑(ji)很(hen)好(hao)地(di)促進燒結(jie)(jie)(jie)(jie),有(you)(you)(you)利(li)于(yu)試(shi)(shi)(shi)樣(yang)(yang)(yang)(yang)(yang)中氣(qi)(qi)(qi)孔(kong)(kong)的(de)(de)(de)(de)(de)(de)(de)排出,提(ti)高(gao)(gao)材料的(de)(de)(de)(de)(de)(de)(de)致密性(xing)。 圖(tu) 2c 是不(bu)同(tong)(tong)(tong)結(jie)(jie)(jie)(jie)合劑(ji)試(shi)(shi)(shi)樣(yang)(yang)(yang)(yang)(yang)在(zai)(zai) 1500 ℃和(he) 1550 ℃燒后(hou)的(de)(de)(de)(de)(de)(de)(de)線變(bian)(bian)化(hua)(hua)(hua)率(lv)(lv)(lv)(lv)(lv)(lv)。不(bu)同(tong)(tong)(tong)試(shi)(shi)(shi)樣(yang)(yang)(yang)(yang)(yang)燒成(cheng)后(hou),試(shi)(shi)(shi)樣(yang)(yang)(yang)(yang)(yang)的(de)(de)(de)(de)(de)(de)(de)線變(bian)(bian)化(hua)(hua)(hua)率(lv)(lv)(lv)(lv)(lv)(lv)都(dou)為(wei)(wei)(wei)(wei) 正值,表現為(wei)(wei)(wei)(wei)體(ti)積膨(peng)脹。1500 ℃ 時 S26 試(shi)(shi)(shi)樣(yang)(yang)(yang)(yang)(yang)的(de)(de)(de)(de)(de)(de)(de)線膨(peng)脹率(lv)(lv)(lv)(lv)(lv)(lv).高(gao)(gao),為(wei)(wei)(wei)(wei) 8. 37% ,S20 的(de)(de)(de)(de)(de)(de)(de)膨(peng)脹率(lv)(lv)(lv)(lv)(lv)(lv).低,為(wei)(wei)(wei)(wei) 2. 69% 。 1550 ℃時線膨(peng)脹率(lv)(lv)(lv)(lv)(lv)(lv).高(gao)(gao)為(wei)(wei)(wei)(wei) S24,為(wei)(wei)(wei)(wei) 7. 5% ,S20 的(de)(de)(de)(de)(de)(de)(de)膨(peng)脹率(lv)(lv)(lv)(lv)(lv)(lv).低,為(wei)(wei)(wei)(wei) 5. 23% 。因此可以判斷出在(zai)(zai)粒度(du)(du)(du)相同(tong)(tong)(tong)的(de)(de)(de)(de)(de)(de)(de)情 況下 S20 試(shi)(shi)(shi)樣(yang)(yang)(yang)(yang)(yang)的(de)(de)(de)(de)(de)(de)(de)結(jie)(jie)(jie)(jie)合劑(ji)在(zai)(zai)高(gao)(gao)溫時熔融形(xing)成(cheng)的(de)(de)(de)(de)(de)(de)(de)液相可以更好(hao)的(de)(de)(de)(de)(de)(de)(de)降低顆粒晶型轉變(bian)(bian)帶來的(de)(de)(de)(de)(de)(de)(de)膨(peng)脹。 圖(tu) 2d 是不(bu)同(tong)(tong)(tong)結(jie)(jie)(jie)(jie)合劑(ji)試(shi)(shi)(shi)樣(yang)(yang)(yang)(yang)(yang)在(zai)(zai) 1500 ℃和(he) 1550 ℃燒后(hou)的(de)(de)(de)(de)(de)(de)(de)耐(nai)壓強(qiang)度(du)(du)(du)。1500 ℃時耐(nai)壓強(qiang)度(du)(du)(du).高(gao)(gao)的(de)(de)(de)(de)(de)(de)(de)試(shi)(shi)(shi)樣(yang)(yang)(yang)(yang)(yang)是 S25, 為(wei)(wei)(wei)(wei) 10. 22 MPa,.小的(de)(de)(de)(de)(de)(de)(de)的(de)(de)(de)(de)(de)(de)(de)試(shi)(shi)(shi)樣(yang)(yang)(yang)(yang)(yang)為(wei)(wei)(wei)(wei) S23,** 2. 07 MPa; 1550 ℃時耐(nai)壓強(qiang)度(du)(du)(du).高(gao)(gao)的(de)(de)(de)(de)(de)(de)(de)是 S20,為(wei)(wei)(wei)(wei) 9. 936 MPa,.小的(de)(de)(de)(de)(de)(de)(de) 仍是試(shi)(shi)(shi)樣(yang)(yang)(yang)(yang)(yang)是 S23,** 2. 27 MPa。 S22 與 S21 相比(bi),兩者(zhe)燒后(hou)顯(xian)氣(qi)(qi)(qi)孔(kong)(kong)率(lv)(lv)(lv)(lv)(lv)(lv)和(he)體(ti)積密度(du)(du)(du)沒有(you)(you)(you)大(da)(da)的(de)(de)(de)(de)(de)(de)(de)變(bian)(bian)化(hua)(hua)(hua),但 S22 的(de)(de)(de)(de)(de)(de)(de)線變(bian)(bian)化(hua)(hua)(hua)率(lv)(lv)(lv)(lv)(lv)(lv)和(he)耐(nai)壓強(qiang)度(du)(du)(du)比(bi) S21 高(gao)(gao) 一些,這(zhe)可能是因為(wei)(wei)(wei)(wei)隨著 B2O3 的(de)(de)(de)(de)(de)(de)(de)加(jia)(jia)(jia)(jia)入(ru)(ru)量(liang)(liang)增(zeng)(zeng)(zeng)加(jia)(jia)(jia)(jia)促進了石(shi)(shi)英(ying)的(de)(de)(de)(de)(de)(de)(de)燒結(jie)(jie)(jie)(jie),而石(shi)(shi)英(ying)燒結(jie)(jie)(jie)(jie)過(guo)程中會(hui)(hui)有(you)(you)(you)較復雜的(de)(de)(de)(de)(de)(de)(de)相變(bian)(bian),伴 隨著一定量(liang)(liang)的(de)(de)(de)(de)(de)(de)(de)體(ti)積膨(peng)脹,表現為(wei)(wei)(wei)(wei)線變(bian)(bian)化(hua)(hua)(hua)率(lv)(lv)(lv)(lv)(lv)(lv)大(da)(da),而促進燒結(jie)(jie)(jie)(jie)會(hui)(hui)使試(shi)(shi)(shi)樣(yang)(yang)(yang)(yang)(yang)的(de)(de)(de)(de)(de)(de)(de)耐(nai)壓強(qiang)度(du)(du)(du)增(zeng)(zeng)(zeng)加(jia)(jia)(jia)(jia)。 通(tong)過(guo) S21、S23、S24、S25 試(shi)(shi)(shi)樣(yang)(yang)(yang)(yang)(yang)的(de)(de)(de)(de)(de)(de)(de)對(dui)比(bi),后(hou)三者(zhe)的(de)(de)(de)(de)(de)(de)(de)體(ti)積密度(du)(du)(du)與前者(zhe)沒有(you)(you)(you)多大(da)(da)差別,顯(xian)氣(qi)(qi)(qi)孔(kong)(kong)率(lv)(lv)(lv)(lv)(lv)(lv)、線變(bian)(bian)化(hua)(hua)(hua)率(lv)(lv)(lv)(lv)(lv)(lv)和(he)耐(nai)壓強(qiang)度(du)(du)(du)較前者(zhe)有(you)(you)(you)所(suo)上(shang)升。偏(pian)硅(gui)酸鈉(na)可以作為(wei)(wei)(wei)(wei)石(shi)(shi)英(ying)燒結(jie)(jie)(jie)(jie)過(guo)程中的(de)(de)(de)(de)(de)(de)(de)粘結(jie)(jie)(jie)(jie)劑(ji),其(qi)加(jia)(jia)(jia)(jia)入(ru)(ru)量(liang)(liang)增(zeng)(zeng)(zeng)加(jia)(jia)(jia)(jia)促進了石(shi)(shi)英(ying)砂(sha)燒結(jie)(jie)(jie)(jie),使 試(shi)(shi)(shi)樣(yang)(yang)(yang)(yang)(yang)的(de)(de)(de)(de)(de)(de)(de)耐(nai)壓強(qiang)度(du)(du)(du)有(you)(you)(you)所(suo)增(zeng)(zeng)(zeng)加(jia)(jia)(jia)(jia),其(qi)顯(xian)氣(qi)(qi)(qi)孔(kong)(kong)率(lv)(lv)(lv)(lv)(lv)(lv)和(he)線變(bian)(bian)化(hua)(hua)(hua)率(lv)(lv)(lv)(lv)(lv)(lv)的(de)(de)(de)(de)(de)(de)(de)規律不(bu)是很(hen)明顯(xian)。 實驗也加(jia)(jia)(jia)(jia)入(ru)(ru) CaO 作為(wei)(wei)(wei)(wei)礦化(hua)(hua)(hua)劑(ji),控制石(shi)(shi)英(ying)的(de)(de)(de)(de)(de)(de)(de)晶型轉變(bian)(bian)。隨著 CaO 含量(liang)(liang)的(de)(de)(de)(de)(de)(de)(de)增(zeng)(zeng)(zeng)加(jia)(jia)(jia)(jia),其(qi)顯(xian)氣(qi)(qi)(qi)孔(kong)(kong)率(lv)(lv)(lv)(lv)(lv)(lv)、線變(bian)(bian)化(hua)(hua)(hua)率(lv)(lv)(lv)(lv)(lv)(lv)、耐(nai)壓強(qiang)度(du)(du)(du)均有(you)(you)(you)所(suo)變(bian)(bian)化(hua)(hua)(hua),S27 較 S26 的(de)(de)(de)(de)(de)(de)(de)耐(nai)壓強(qiang)度(du)(du)(du)有(you)(you)(you)所(suo)增(zeng)(zeng)(zeng)加(jia)(jia)(jia)(jia),說明 CaO 能控制 SiO2 的(de)(de)(de)(de)(de)(de)(de)晶型轉變(bian)(bian)( 方(fang)石(shi)(shi)英(ying)向(xiang)石(shi)(shi)英(ying)轉 變(bian)(bian)) ,使其(qi)向(xiang)有(you)(you)(you)利(li)于(yu)其(qi)強(qiang)度(du)(du)(du)提(ti)高(gao)(gao)的(de)(de)(de)(de)(de)(de)(de)方(fang)向(xiang)發展。加(jia)(jia)(jia)(jia)入(ru)(ru) SiO2 微粉能形(xing)成(cheng)液相,促進石(shi)(shi)英(ying)砂(sha)的(de)(de)(de)(de)(de)(de)(de)燒結(jie)(jie)(jie)(jie),但是隨著 SiO2微粉的(de)(de)(de)加(jia)入,其(qi)(qi)強(qiang)度有所降(jiang)低,這可(ke)能是因(yin)(yin)為(wei) SiO2 的(de)(de)(de)引入在一(yi)定(ding)(ding)程度上改(gai)變了其(qi)(qi)晶型轉變,使其(qi)(qi)膨脹(zhang)率高(gao)(gao), 耐壓(ya)(ya)強(qiang)度低。 圖 3 是試樣(yang)(yang)(yang)燒(shao)后(hou)物相組成分析(xi)(xi)圖。從圖 3a 中可(ke)以(yi)看出,1500 ℃ 時 S20 試樣(yang)(yang)(yang)的(de)(de)(de)主要物相是石(shi)(shi)英(ying)(ying)(ying)和方(fang)石(shi)(shi) 英(ying)(ying)(ying),通(tong)過(guo)半(ban)定(ding)(ding)量分析(xi)(xi),試樣(yang)(yang)(yang)中石(shi)(shi)英(ying)(ying)(ying)含(han)(han)量為(wei) 58% ,方(fang)石(shi)(shi)英(ying)(ying)(ying)含(han)(han)量為(wei) 42% ,石(shi)(shi)英(ying)(ying)(ying)向(xiang)(xiang)方(fang)石(shi)(shi)英(ying)(ying)(ying)轉化(hua)并不完全(quan)。圖 3b 是 1550 ℃時 S20 試樣(yang)(yang)(yang) XRD 圖譜(pu),方(fang)石(shi)(shi)英(ying)(ying)(ying)峰比較(jiao)多,通(tong)過(guo)半(ban)定(ding)(ding)量分析(xi)(xi),石(shi)(shi)英(ying)(ying)(ying)含(han)(han)量為(wei)5% ,方(fang)石(shi)(shi)英(ying)(ying)(ying)含(han)(han)量為(wei)95% ,石(shi)(shi)英(ying)(ying)(ying)向(xiang)(xiang)方(fang)石(shi)(shi)英(ying)(ying)(ying)轉化(hua)比較(jiao)完全(quan)。從 XRD 圖譜(pu)分析(xi)(xi)可(ke)知,1550 ℃ 膨脹(zhang)率比 1500 ℃ 高(gao)(gao)些是因(yin)(yin)為(wei)石(shi)(shi)英(ying)(ying)(ying)向(xiang)(xiang)方(fang)石(shi)(shi)英(ying)(ying)(ying)轉化(hua)多,因(yin)(yin)此產生(sheng)的(de)(de)(de)膨脹(zhang)率較(jiao)高(gao)(gao)些; 1550 ℃時因(yin)(yin)為(wei)試樣(yang)(yang)(yang)中石(shi)(shi)英(ying)(ying)(ying)向(xiang)(xiang)方(fang)石(shi)(shi)英(ying)(ying)(ying)轉變的(de)(de)(de)比較(jiao)完全(quan),試樣(yang)(yang)(yang)整體的(de)(de)(de)結構穩定(ding)(ding)性(xing)比較(jiao)好,相比其(qi)(qi)他試樣(yang)(yang)(yang)擁有較(jiao)高(gao)(gao)的(de)(de)(de)耐壓(ya)(ya)強(qiang)度。
2 不同結合(he)劑(ji)試樣在 1500 ℃和(he) 1550 ℃燒后(hou)性能( a) 顯氣孔率; ( b) 體(ti)積密度; ( c) 線(xian)變(bian)化率和(he)( d) 耐壓強度
4 結 論
( 1) 經過(guo) 1500 ℃和 1550 ℃燒后(hou),試(shi)樣的(de)(de)線(xian)變(bian)化率(lv)、氣孔率(lv)、體(ti)(ti)積密(mi)度均有比較(jiao)(jiao)明顯的(de)(de)差別(bie),說(shuo)明不同的(de)(de)顆(ke)(ke)粒(li)(li)緊密(mi)堆(dui)積程(cheng)度影響較(jiao)(jiao)大(da),對(dui)制(zhi)品的(de)(de)性能的(de)(de)影響也很大(da); ( 2) 試(shi)樣中含有較(jiao)(jiao)多的(de)(de)大(da)顆(ke)(ke)粒(li)(li),在(zai)燒結過(guo)程(cheng)中可以減小試(shi)樣的(de)(de)膨脹率(lv),其粒(li)(li)度分(fen)布符合緊密(mi)堆(dui)積原理(li), 細粉可以充(chong)(chong)分(fen)填充(chong)(chong)氣孔,降低(di)氣孔率(lv),提(ti)高(gao)制(zhi)品的(de)(de)體(ti)(ti)積密(mi)度,從而使其耐(nai)壓(ya)強度偏高(gao); ( 3) 結合劑在(zai) 1500 ℃ 和 1550 ℃ 生成液相后(hou),能夠潤濕(shi)顆(ke)(ke)粒(li)(li)表面,減少顆(ke)(ke)粒(li)(li)膨脹帶來的(de)(de)較(jiao)(jiao)大(da)的(de)(de)線(xian)變(bian)化。2486 專題論文 硅(gui) 酸 鹽 通 報 第(di) 34 卷 1550 ℃燒后(hou)試(shi)樣中石(shi)英向(xiang)方石(shi)英轉變(bian)徹底,將具有較(jiao)(jiao)好的(de)(de)氣孔率(lv)和耐(nai)壓(ya)強度。